根據114年學測統計資料,我們發現去年出題老師同時在數A及數B中同時針對「文字➡︎圖形」的轉譯能力上面下了不少的功夫,許多試題都需要將文字轉換成圖形進行作答將會方便許多,那到底將圖形轉換出來以後又有哪些常見的公式呢?以下整理一些常見的幾何平面公式幫大家複習!
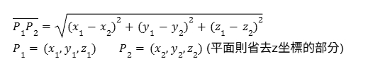
1.兩點距離公式

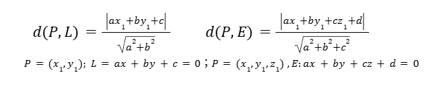
2.點到直線(平面)距離公式

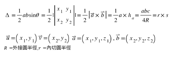
3.三角形面積公式

4.各種函數的基本圖形

5.矩陣乘法的順序
6.多項式的除法原理

7.三角函數常用公式

8.向量內積求夾角

上述都算是基本概念,要是不太會的話記得去重新複習一下有關知識層次的試題喔!!



